Trigonometric Identities The trigonometric identities are the identities that involve trigonometric function that is true for every condition for a rightangle triangleFirst I change theta to A for ease in writing on mobile So the expression now becomes Tan A Cot A = 2 Sin A/Cos A Cos A/Sin A = 2 (Sin^2A Cos^2A)/Sin A Cos A = 2 2 Sin A Cos A = 1 2Sin A(CosA) = 1 2 Sin A 1 Sin^2A = 1 Squaring both sidesSomething went wrong Wait a moment and try again Try again Please enable Javascript and refresh the page to continue

Prove That 2 Sec 2 Theta Sec 4 Theta 2 Cose C 2 Theta Cose C 4 Cot 4 Theta Tan 4 Theta Snapsolve
Tan theta+2 tan 2 theta+4cot4 theta=cot theta
Tan theta+2 tan 2 theta+4cot4 theta=cot theta-Given that $\cot\theta \tan \theta = x$ and $\sec \theta \cos \theta = y$, evaluate $\left(x^2 y xy^2\right)^{2/3}$ I tried substituting $\cot \theta$ with $\frac{1}{\tan \theta}$ and similarly with $\sec \theta$, but it was of no help Please help me in simplifying this preferably with Pythagorean Identities I found this question fromTrigonometry Share Cite Follow edited Jan 19 '17 at 1453 Michael Hardy 252k 28 28 gold badges 251 251 silver badges 534 534 bronze badges asked Jan 19 '17 at 1446 Haim Haim 685 6 6 silver badges 14 14 bronze badges $\endgroup$




Let Theta In 0 Pi 4 And T 1 Tan Theta Tan Theta T
For the sake of clarification, I'm also aware of the double angle rules and how they are used to obtain $\tan^2(\frac{\theta}{2})$;Prove each of the following identities ` (tan theta)/((1cot theta)) (cot theta)/((1 tan theta)) = (1 sec theta \"cosec\" theta) `Let theta = t Given tan t 1/tan t = 2 —> (tan^2 t 1)/tan t = 2 tan^ t 2tan t 1 = 0 ( tan t 1)^2 = 0 —→ tan t 1 = 0 —> tan t = 1 —> (1)( By drawing a Right triangle ) sec t = √2/1 = √2 You can also find from (1) tan ^2 t = 1 add 1
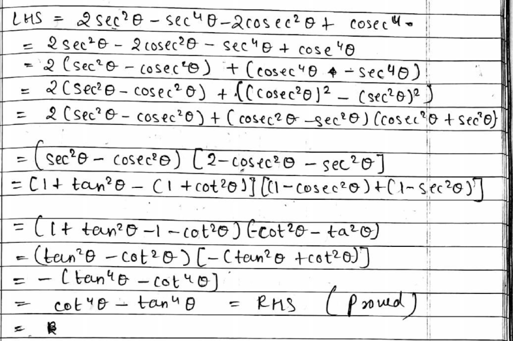
· If sin theta cos theta = √2 ,then evaluate tan theta cot theta 2 See answers kkn2 kkn2 Squaring first equatio sin^2(a)cos^2(a) 2sin( a) cos( a)=2 12sin(a)cos(a)=2 2sin(a)cos(a)=1 sin(a)cos(a)=1/2 tan acot a=sin a/cos a cos a/sin a =sin ^2 a cos ^2 a/sin a cos a =1/(1/2) =2 thanks☺️ email protected reethacs reethacs Answer 2 StepbystepProve that `Sqrt(Sec^2 Theta Cosec^2 Theta) = Tan Theta Cot Theta` CISCE ICSE Class 10 Question Papers 301 Textbook Solutions Important Solutions 2864 Question Bank Solutions Concept Notes & Videos 230 Time Tables 15 Syllabus Advertisement Remove all ads Prove that `Sqrt(Sec^2 Theta Cosec^2 Theta) = Tan Theta Cot Theta` Mathematics Prove that `sqrt(sec^2 theta · 2 sec 2 theta sec 4 theta2 cosec 2 thetacosec 4 theta= cot 4 thetatan 4 theta Share with your friends Share 16 LHS = 2sec 2 θ sec 4 θ 2cosec 2 θ cosec 4 θ Using sec 2
Join for Free Problem Factor and simplify $$ \sin ^{4} x\cos ^{4} x $$ AG Ankit G Numerade Educator Like Report Jump To Question Problem 1 Problem 2 Problem 3 Problem 4 Problem 5 Problem 6 Problem 7 Problem 8 Problem 9 Problem 10 Problem 11 ProblemIf tan1(cotθ) = 2θ, then θ is equal to (A) (π/3) (B) (π/4) (π/6) (D) None of these Check Answer and Solution for above question from MatheSimplify \cot \theta \tan ^{2} \theta \cos \theta Hurry!



2 Sec Square Theta Sec 4 Theta 2 Cosec Square Theta Cosec 4 Theta Cot 4 Tan 4 Theta Prove Brainly In




यद Tan Theta Cot Theta 4 त Tan 4 Cot 4 Theta क
· If tan theta cot theta = 2 where 0 degree < thetaHow to simplify the expression $\tan(\theta) 2\tan(2\theta) 2^2\tan(2^2 \theta) \ldots 2^{14} \tan(2^{14}\theta) 2^{15} \cot(2^{15} \theta)$ I am not getting any clue how to proceed in such Stack Exchange Network Stack Exchange network consists of 176 Q&A communities including Stack Overflow, the largest, most trusted online community for developers to learn, share theirTo ask Unlimited Maths doubts download Doubtnut from https//googl/9WZjCW If `tan theta=3/4` and `theta` is not in first quadrant then `(sin(pi/2theta)c




Let Theta In 0 Pi 4 And T 1 Tan Theta Tan Theta T



The Value Of Cot P 4 8 Cot P 4 8 Is A 1 B 0 C 1 D Not Defined Sarthaks Econnect Largest Online Education Community
Uibutton Topics General Knowledge General Science General English Aptitude General Computer Science General Intellingence and Reasoning Current Affairs Exams Elementary Mathematics English Literature Elementary Mathematics;Verify the identity \tan \theta\cot \theta=2 \csc 2 \theta Join Here!Factor and simplify \tan ^{2} \theta\cot ^{2} \theta Join Here!




Important Angles Ppt Download




Vi 55 If Theta Is Not Multiple Of Frac Pi 2 Prove That Tan Theta 2 Tan 2 Theta
Prove\\tan^2(x)\sin^2(x)=\tan^2(x)\sin^2(x) prove\\cot(2x)=\frac{1\tan^2(x)}{2\tan(x)} prove\\csc(2x)=\frac{\sec(x)}{2\sin(x)} prove\\frac{\sin(3x)\sin(7xMy issue is understanding the connection between those rules and what exists on the RHS within equation $(1)$ Apologies for any confusion on this trigonometry Share Cite Follow edited Aug 7 '16 at 622 Martin Sleziak 512k 16 16 goldLHS = `(1 tan theta cot theta )(sintheta cos theta) ` =` sin theta tan theta sin theta cot theta sin theta cos theta tan theta cos theta cot theta cos




How To Prove That Tan 5 Theta Tan 3 Theta Tan 5 Theta Tan 3 Theta 4 Cos 2 Theta Cos 4 Theta Quora




If Tan Theta 3 4 And Theta Is Not In First Quadrant Then Sin
Which identity would I need to solve this?Sec 2 theta * tan 2 theta d theta, Evaluate the indefinite integralProblem If $\tan\theta$, $2\tan\theta2$, $3\tan\theta 3$ are in geometric progression then find the value of $$\frac{75\cot\theta}{94\sqrt{\sec^2\theta 1}}$$ Solution Since $\tan\th Stack Exchange Network Stack Exchange network consists of 176 Q&A communities including Stack Overflow, the largest, most trusted online community for developers to learn, share their




How To Prove That Tan 5 Theta Tan 3 Theta Tan 5 Theta Tan 3 Theta 4 Cos 2 Theta Cos 4 Theta Quora



Prove That Cot P 4 2cot 1 3 7 Studyrankersonline
The minimum value of \( \Large 4\tan^{2} \theta 9\cot^{2} \theta \) is equal to Sign in;`Tan Theta/(1 Tan^2 Theta)^2 Cottheta/(1 Cot^2 Theta)^2 = Sin Theta Cos Theta` CBSE CBSE (English Medium) Class 10 Question Papers 6 Textbook Solutions Important Solutions 3111 Question Bank Solutions 334 Concept Notes & Videos & Videos 224 Time Tables 12 Syllabus Advertisement Remove all ads `Tan Theta/(1 Tan^2 Theta)^2 Cottheta/(1 Cot^2 Theta)^2 = Sin Theta · tanθ 2tan2θ 4cot4θ ≡ cotθ Let us start with the LHS, as this is the most complex part of the expression LH S = tanθ 2tan2θ 4cot4θ = tanθ 2tan2θ 4 tan4θ




2 Sec 2 8 Sec 4 8 2 Cosec 2 8 Cosec 4 8 Cot 4 8 Tan 4 8 Youtube




How To Prove Tan A 1 Cot A Cot A 1 Tan A 1 Tan A Cot A Quora
Prove each of the following identities `(tan theta)/((1 tan^(2) theta)^(2)) (cot theta)/((1 cot^(2) theta)^(2)) = sin theta cos theta `Only 1Day Left to Win a PS5 in our Study and Meet Discord Server Join Here 🥳 >> Books; · 432none of these CWe have, ` tan theta cot theta =2` ` Rightarrow (tan theta cot theta )^(2) =(2)^(2)` `Rightarrow tan^(2) theta cot^(2) theta 2 tan theta 2 tan theta cot theta =4` ` Rightarrow tan^(2) theta cot^(2) theta 2 =4` ` Rightarrow tan^(2) theta cot^(2) theta =2` Books Physics NCERT DC Pandey Sunil Batra HC Verma Pradeep Errorless




Vi 55 If Theta Is Not Multiple Of Frac Pi 2 Prove That Tan Theta 2 Tan 2 Theta




Y 1 X Dx Ln X Y A X Dx 3 Y E X Dx E X 15 Y Sinh X Dx Cosh X Y Cos X Dx Sin X Y Csc
· If $ \sin\theta \cos\theta = \dfrac 1 2$, what does $\tan\theta \cot\theta$ equal?Join for Free Problem Verify the identity $$\tan 3 u=\frac{\tan u\left Joanna Q Numerade Educator Like Report Jump To Question Problem 1 Problem 2 Problem 3 Problem 4 Problem 5 Problem 6 Problem 7 Problem 8 Problem 9 Problem · tan theta – cot theta/sin theta cos theta = tan^2 theta – cot^2 theta More Articles If the roots of the equation (ab)x^2 (bc)x(ca) =0 then prove that bc=2a cosec theta – cot theta whole square = 1cos theta/1cos theta Class 10 Ex 84 Q 5 i Related Categories Education Post navigation If the roots of the equation (ab)x^2 (bc)x(ca) =0 then prove that bc=2a




If Tan Theta 3 4 And Theta Is Not In First Quadrant Then Sin




The Value Of Tan Alpha 2tan 2alpha 4tan 4alpha 2 N 1 Tan 2 N 1 Alpha 2 Ncot 2 Nalp Youtube
Free math problem solver answers your algebra, geometry, trigonometry, calculus, and statistics homework questions with stepbystep explanations, just like a math tutorLog in Suman Saurav T Numerade Educator Like Report Jump To QuestionClick here👆to get an answer to your question ️ Prove that tan^2 theta cot^2 theta 2 = sec^2 theta· cosec^2 theta




If Tan Theta 4 3 3pi 2 Lt Theta Lt 2pi Find The Value Of




If 3 Tan Theta Cot Theta Then Theta
The minimum value of \( \Large 4\tan^{2Tan θcot θ=2 or, tan θ(1/tan θ)=2 or, tan² θ2 tan θ1=0 or, (tan θ1)²=0 or, tan θ1=0 or, tan θ=1 or, θ= arctan(1) or, θ=π/4 Obviously, you can find out tan θ=1 by intuition But if you have to show the steps, follow the above method Now, asयदि `(tan cot theta) =5,` तब `tan^(2)thetacot^(2)theta=`




Trigonometry Review Find Sin 4 Cos 4 Tan 4 Find Sin 4 Cos 4 Tan 4 Csc 4 Sec 4 Cot 4 Csc Ppt Download




If Tan Theta 4cot Theta 4 Then Find Tan2 Theta Cot 2 Theta Brainly In
Solve for theta tan theta cot theta= 2 Get the detailed answer to this question along with unlimited Maths questions and prepare better for JEE examIf tan theta cot theta = 4 , then the value of tan^2 cot^2 is equal to apple1537 apple1537 0701 Math Secondary School answered If tan theta cot theta = 4 , then the value of tan^2 cot^2 is equal to 2 See answers ogreaashish ogreaashish Squaring on both sides you will get (Tan theta cot theta )^2=4^2 Tan2 theta cot2 theta 2tan theta cot theta =16 Tan 2 thetaJoin for Free Problem Simplify $$\frac{\tan x\left(\csc ^{2} x1\right View Full Video Already have an account?



Trigonometric Equations Review Article Khan Academy




Iv Tan Theta 2tan2 Theta 4tan4 Theta 8cot8 Theta Cot Theta
Tan(theta) = sin(theta) / cos(theta) tan(theta pi/2) = sin(theta pi/2) / cos(theta pi/2) sin(theta pi/2) = cos(theta) cos(theta pi/2) = sin(theta) So tanIf Tan Theta Plus Tan Theta Pi 3 Plus Tan Theta Pi 3 K Tan 3theta Then K Is If Tan Theta Tan Theta Pi 3 Tan Theta 2pi 3 3 Then If Tan X 2b A C A Not Equal To C Y A Cos 2 X 2b Sin X Cos X If tan y = 2t/(1t2) and sin x = 2t/(1t2), then dy/dx = If tan1 (tan (5π / 4)) = α, tan1 ( tan (2π / 3 · If $$\frac{\sec \theta \tan \theta}{\sec \theta \tan \theta} = \frac{3}{5}$$, then the value of $$\frac{\cosec \theta \cot \theta}{\cosec \theta \cot \theta




Prove That Cosec4theta Cosec2theta Cot2theta Cot4theta Note 2 And 4 Are The Powers Brainly In




Core 3 Question Book Mr Barton Maths




If Tan Theta 4 Cot Theta 4 The Value Of Tan 3 Theta Cot 3 Th



How To Prove That 2sec 2 Sec 4 2cosec 2 Cosec 4 Cot 4 Tan 4 Quora




If Tan Theta 4 Cot Theta 4 The Value Of Tan 3 Theta Cot 3 Theta Is Youtube




Let Thetain 0 Pi 4 And T 1 Tantheta Tantheta T 2 Tant




Show 2 Sec 2 Theta Sec 4 Theta 2 Cosec 2 Theta Cosec 4 Theta Cot 4 Theta Tan 4 Th Youtube




Prove Tan Theta 2tan2theta 4tan4theta 8cot8theta Cot Theta Brainly In




Iv Tan Theta 2tan2 Theta 4tan4 Theta 8cot8 Theta Cot Theta




The Expression Frac Cos 4 Theta 4 Cos 2 Theta 3 Cos 4 Theta 4 Cos 2 Theta 3 Can Be Equa 1 Tan 4 Theta 3 Sec 4 Theta 2 Tan 2 Theta 2 4 Cot 4 Theta




Verify Csc 4 Theta Cot 4 Theta 1 Cos 2 Theta Sin 2 Theta Youtube




Rd Sharma Solutions For Class 10 Maths Chapter 6 Trigonometric Identities Updated For 21 22 Coolgyan Org




Ppt Trig Functions Of Real Numbers Powerpoint Presentation Free Download Id




8 Prove That Cot 4 A Cot 2 A Cosec 4 A Cosec 2 A Youtube




If Tana Cota 2 Then What Is Value Of Tan 7 A Cot 7 A Quora




Cot Theta Tan Theta 2 Tan 2theta 4 Tan 4theta




If Tan Theta 4 Cot Theta 4 The Value Of Tan 3 Theta Cot 3 Th



What Is Cot Theta Equal To




Ppt 2 Pt Powerpoint Presentation Free Download Id




Prove That Tan A 1 Cot A Cot A 1 Tan A 1 Tan A Cot A Youtube




If Cot Theta Tan Theta 2cosec Theta Then The General Value Of




Trig Functions Of Real Numbers Ppt Video Online Download




Csc 4 Csc 2 Cot 4 Cot 2 Youtube




প রম ণ কর Tantheta 2tan2theta 4cot4theta Cottheta




Pdf Geometrical Source Localization Of Gravitational Waves




Prove That Tan Theta 1 Cot Theta Cot Theta 1 Tan Theta 1 Sec Theta Cosec Theta Youtube




Prove That 1 Cos2theta Sec 2 Theta 2tan 2 Theta



Trig Chapter Summary And Review




What Is Tan 2 Theta Equal To




How Do You Find The Value Of Cot 90 Socratic




Prove That 2 Sec 2 Theta Sec 4 Theta 2 Cose C 2 Theta Cose C 4 Cot 4 Theta Tan 4 Theta Snapsolve




If 2 Tan Theta Sec Theta Then 4 Cot 2 Theta 8tan 2 Theta Brainly In



How To Evaluate Tan 2 Tan 1 1 5 Pi By 4 Quora




Prove The Following Identities 2sec 2theta Sec 4theta 2cos E C 2theta Cosec 4 Theta Cot 4the Youtube




Trigonometric Identities I Cot 4 Theta Cot 2 Theta Cosec




Verify Csc 4 Cot 4 2cot 2 1




Evaluate The Following Sec 2 90 Theta Cot 2 Theta 2 Sin 2 25



How To Evaluate Tan 2 Tan 1 1 5 Pi By 4 Quora



If Tana Cota 3 Then What Is Tan 8a Cot 8a Quora




Vi 55 If Theta Is Not Multiple Of Frac Pi 2 Prove That Tan Theta 2 Tan 2 Theta




Vi 55 If Theta Is Not Multiple Of Frac Pi 2 Prove That Tan Theta 2 Tan 2 Theta




Rd Sharma Solutions For Class 10 Chapter 6 Trigonometric Identities Avail Free Pdf




Tan A 2 Tan 2a 4 Tan 4a 8 Cot 8a Brainly In




Answered Activity 9 Find The Exact Values Of Bartleby




If Theta Is Not An Integral Multiple Of Pi 2 Prove That Tan




Y 1 X Dx Ln X Y A X Dx 3 Y E X Dx E X 15 Y Sinh X Dx Cosh X Y Cos X Dx Sin X Y Csc




Prove That Tan Alpha 2 Tan 2alpha 4 Tan4alpha 8cot 8alpha Cot Alpha Youtube




If Tan Theta Cot Theta 7 Then The Value Of Tan 3 Theta Cot 3




If Tan Theta 4cot Theta 4 Then Find Tan2 Theta Cot 2 Theta Brainly In




Prove That Sec 4 Theta Tan 4 Theta 1 2tan 2 Theta



Solve Cot 8 P 4 Cot 8 P 4 2 Tan 8 Cot 8 P 4 Cot 8 P 4 For The General Value Of 8 Sarthaks Econnect Largest Online Education Community




3cot Theta 4 Then Prove That 1 Tan 2 Theta 1 Tan 2 Theta Cos 2 Theta Sin 2 Theta Brainly In




Pdf Chapter 2 Trigonometric Functions Section 2 1 Lq6r7t Ocwe9q Academia Edu




If Tana Cota 2 Then Tan 4a Cot 4a Youtube




107 Cot Theta Tan Theta 2 Tan 2 Theta 4 Tan 4 Theta



Prove That 2sec 28 Sec 48 2cosec 28 Cosec 48 Cot 48 Tan 48 Sarthaks Econnect Largest Online Education Community




Pdf The Trace Method For Cotangent Sums



What Is Cot Theta Equal To



Trig Chapter Summary And Review




If Theta In An Acute Angle And Tan Theta Cot Theta 2 Then Find The Value Of Tan 5theta Cot 5theta Brainly In




I Prove That Tan Theta 2 Tan 2 Theta 4 Tan 4 Theta 8 Cot 8 Theta Cot Theta




If Sec Theta Tan Theta Is Equal To 2 Then Prove That Cosec Theta Cot Theta Is Equal To 3 Brainly In




Vi 55 If Theta Is Not Multiple Of Frac Pi




The Number Of Distinct Solutions Of Cosec 4 Theta 4 Cot 4theta




If Tan Theta Cot Theta 2 Then Tan 2 Theta Cot 2 Th




I Prove That Tan Theta 2 Tan 2 Theta 4 Tan 4 Theta 8 Cot 8 Theta Cot Theta




Trigonometric Identities 2 Studocu




If Tan Theta Cot Theta 2thentan 4 Theta Cot 4 Theta 2 Prove That Brainly In




View Question Prove That




Vi 55 If Theta Is Not Multiple Of Frac Pi 2 Prove That Tan Theta 2 Tan 2 Theta




Sec 2 Tan 1 3 Cosec 2 Cot 1 4 Youtube




स द ध कर क Cosec 4 Theta Cot 4 Theta Cosec 2 Theta Cot 2 Theta Youtube




If Tan Theta Plus Cot Theta 4 Then Tan Theta4 Plus Cot Theta4 Explain Maths Introduction To Trigonometry Meritnation Com




Int Cot Theta 3 Cosec 2 Theta D Theta क म न ज ञ त क ज ए




Prove That 2sec 2 A Sec 4 A 2 Cosec 2 A Cosec 4 A Cot 4




If 3 Tan Theta Cot Theta Then Theta




Vi 55 If Theta Is Not Multiple Of Frac Pi 2 Prove That Tan Theta 2 Tan 2 Theta
0 件のコメント:
コメントを投稿